floyd urgent care calhoun ga covid testing
Floyd Urgent Care locations offer COVID-19 testing. Same day service and all tests are analyzed by an FDACLIA certified laboratory.
Covid 19 Testing Clayton County Health District Department Of Public Health
Peachtree Immediate Care 3287 Jimmy Lee Smith.
. Floyd Urgent Care - Calhoun. 251 Highway 53 E. Georgia Overall COVID-19 Status.
Other Paulding County locations offering on-site COVID-19 testing are. Local COVID-19 testing utilizing blood draw locations in Floyd GA and in-home test collection kits. Use the search fields.
Fatigue body aches nausea vomiting and diarrhea are also common as is a new loss of taste and. Use our COVID-19 testing center locator to find a location where you can get tested for COVID-19 in calhoun georgia. Up to 6 cash back CVS Health is offering lab COVID testing Coronavirus at 402 North Wall Calhoun GA 30701 to qualifying patients.
PCR and Rapid Results COVID Testing Available at Floyd Primary Care and Floyd Urgent Care locations. Schedule your test appointment online. Find locations near you and schedule your appointment.
Use our COVID-19 testing center locator to find a location where you can get tested for COVID-19 in calhoun georgia. Symptoms of COVID-19 may include fevers cough sore throat and shortness of breath. Skip to Main Content.
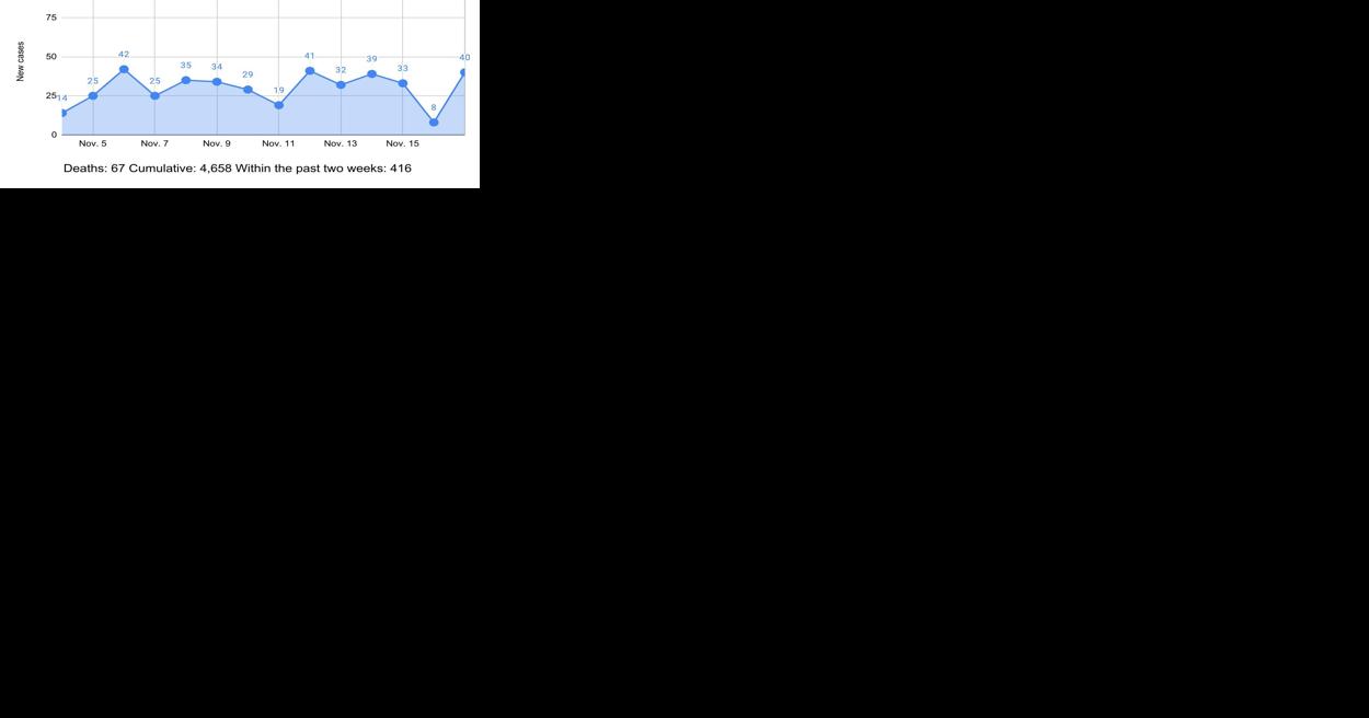
Up to 6 cash back CVS Health is offering coronavirus testing COVID-19 in Calhoun GA to qualifying patients. Monday through Saturday. Below you will find information reported to DPH on the total number of COVID-19 tests confirmed COVID-19 cases PCR positive antigen positive cases.
Covid Testing Georgia Perfect Health
Limited Covid 19 Testing Locations Open In Georgia With Tight Eligibility
Covid 19 Coronavirus Info Visit Dalton Ga
Taylorsville Ga Commercial Land For Sale Landsearch
Floyd County Hospital Reports Preliminary Case Of Coronavirus
Coronavirus Georgia Real Time Updates On April 2 11alive Com
Public Health To End Free Covid Testing In Northwest Georgia Walker County Ga Official Government Site
Update Georgia Reports 775 466 Confirmed Cases Of Covid 19 Statewide With 12 124 In Columbus Wrbl
Public Health Director Coronavirus Infection Isolated Not A Community Wide Outbreak Local News Northwestgeorgianews Com
Phil Gray Md Family Medicine Calhoun Ga Adventhealth
Free Covid 19 Testing In Shelby County On Memorial Day Localmemphis Com
Atrium Health Floyd Primary Care Family Medicine Armuchee Atrium Health Floyd
11 Free Std Testing Hiv Test Clinics In Calhoun Ga
Floyd Urgent Care Calhoun Hospital Gordon County Georgia
Grayling Hospital Munson Healthcare Foundations Grayling Michigan
Atrium Health Floyd Now Allowing 2 Visitors Per Patient Effective Wednesday Local News Northwestgeorgianews Com
Open Letter To Vice President Mike Pence Re Us Covid 19 Response By Dr Maxine Dexter And Dr Smitha Chadaga Medical Professionals For A Better Covid 19 Response Medium
Floyd Medical Center Begins Offering Covid 19 Antibody Treatment Schools And The Jail Struggle With Virus Local News Northwestgeorgianews Com
